✋ Las
compuertas NAND y
NOR son
dispositivos electrónicos muy populares porque pueden trabajar como
compuertas universales, esto quiere decir que, tanto las
compuertas NAND como las compuertas
NOR, pueden utilizarse para implementar o reemplazar operaciones como
AND,
OR,
NOT, etc., o cualquier otra combinación o diseño que utilice estos dispositivos.
Propiedad universal de la compuerta NAND
1. Una compuerta NAND usada como inversor.
 |
| Compuerta NAND usada como inversor |
2. Dos compuertas NAND usadas como una compuerta AND.
 |
| Dos compuertas NAND usadas como una compuerta AND |
3. Tres compuertas NAND usadas como una compuerta OR.
 |
| Tres compuertas NAND usadas como una compuerta OR |
4. Cuatro compuertas NAND usadas como una compuerta NOR
 |
| Cuatro compuertas NAND usadas como una compuerta NOR |
Propiedad universal de la compuerta NOR
1. Una compuerta NOR usada como inversor.
 |
| Compuerta NOR usada como inversor |
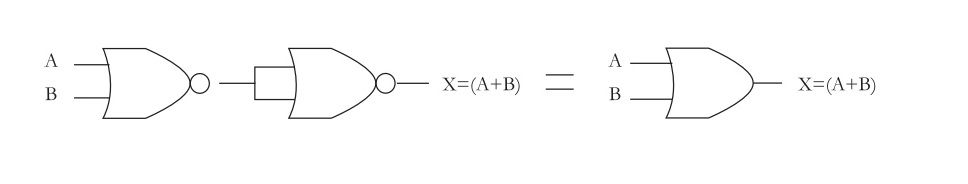
2. Dos compuertas NOR usadas como una compuerta OR.
 |
| Dos compuertas NOR usadas como una compuerta OR |
3. Tres compuertas NOR usadas como una compuerta AND.
 |
| Tres compuertas NOR usadas como una compuerta AND |
4. Cuatro compuertas NOR usadas como una compuerta NAND.
 |
Cuatro compuertas NOR usadas como una compuerta NAND
|
Escrito por Archie Tecnology
No hay comentarios:
Publicar un comentario